Revista CENTRA de Ciencias Sociales
| Enero-junio 2026 | vol. 5 | núm. 1 | pp. 115-138
ISSN: 2951-6641 (papel) 2951-8156 (en línea)
Artículos/Articles
https://doi.org/10.54790/rccs.135
Adolfo López Carmona
Universidad de Granada, España
Recibido/Received: 28-3-2025 ![]()
Aceptado/Accepted: 22-9-2025
Objetivo: Para evitar las actuales discordancias entre votos y escaños entre partidos se realizará previamente un reparto más proporcional de escaños a las circunscripciones según sus poblaciones actualizadas y se tendrán en cuenta los votos totales de los partidos. Método: Aplicaremos el método d’Hondt con una reducción de votos (barrera continua) a los partidos para obtener los escaños totales de cada partido a nivel global. Aplicaremos el método de biproporcionalidad para repartir los escaños totales de cada partido entre las circunscripciones. Resultados: Con nuestra propuesta se evitan discordancias entre votos y escaños, se prima al partido vencedor con más escaños (mejora de la gobernabilidad) y aumenta la representatividad del Parlamento Vasco (algún partido más obtendría representación). Conclusiones: El actual sistema electoral vasco provoca discordancias entre votos y escaños entre partidos, tal y como ocurrió en las elecciones de 1990, 2012 y 2024. Esto se debe a que no se hace un reparto proporcional de escaños a las circunscripciones teniendo en cuenta sus poblaciones actualizadas y a que no se tienen en cuenta los votos totales de los partidos para los escaños totales a los partidos.
palabras clave: elecciones al Parlamento Vasco de 1990, 2010 y 2024; sistema electoral vasco; discordancias; barrera discontinua; barrera continua; método d’Hondt; gobernabilidad; biproporcionalidad.
cómo citar: López Carmona, A. (2026). Propuesta de reforma del sistema electoral vasco. Revista Centra de Ciencias Sociales, 5(1), 115-138. https://doi.org/10.54790/rccs.135
English version can be read on https://doi.org/10.54790/rccs.135
Objective: To avoid such discordances among parties, a more proportional distribution of seats to the constituencies will be carried out according to their updated populations and the total votes of the parties will be taken into account. Method: We will apply the d’Hondt method with a reduction of votes (continuous threshold) to the parties to obtain the total seats of each party at a global level. We will also apply the biproportionality method to distribute the total seats of each party among the constituencies. Results: With our proposal, discordances between votes and seats are avoided, the winning party receives a bonus with more seats (improvement of governability) and the representativeness of the Basque parliament increases (some more party would obtain representation). Conclusions: The current Basque electoral system causes discordances between votes and seats among the parties, as occurred in the elections of 1990, 2012 and 2024. This is because a more proportional distribution of seats is not made to the constituencies, taking into account their updated populations and because the total votes of the parties are not taken into account when distributing the total seats to the parties.
keywords: Elections to the Basque Parliament of 1990, 2010 y 2024; Basque Electoral System; Discordances; Discontinuous Threshold; Continuous Threshold; D’hondt Method; Governability; Biproportionality.
Las elecciones al Parlamento Vasco celebradas en 1990, 2012 y 2024 han demostrado que el actual sistema electoral vasco provoca discordancias entre votos y escaños. Por ejemplo, en las últimas elecciones celebradas en 2024, la coalición Elkarrekin Podemos-Alianza Verde obtuvo 23.679 votos, y Vox, 21.396 votos. Sin embargo, la coalición Elkarrekin-Podemos-Alianza Verde se quedó sin representación mientras que Vox obtuvo un escaño. Estas discordancias vienen provocadas por dos motivos: por no tener en cuenta el número total de votos a la hora de asignar los escaños totales a los partidos y porque no se tienen en cuenta las poblaciones de derecho actualizadas para determinar el cupo de escaños de cada circunscripción electoral. De esta manera, Álava resulta beneficiada (sobrerrepresentada) en número de escaños, siendo la circunscripción menos poblada. Determinar el tamaño de las circunscripciones en proporción a sus poblaciones de derecho actualizadas reduciría mucho las posibilidades de que dichas discordancias entre votos y escaños ocurriesen, aunque no las eliminaría por completo. Además, en el presente artículo propondremos tener en cuenta los votos totales de cada partido para calcular su representación en el Parlamento Vasco. Discordancia no ha de confundirse con desproporcionalidad, ya que son conceptos completamente diferentes. Un sistema electoral puede provocar discordancias y al mismo tiempo ser proporcional, como es el caso del sistema electoral vasco. Esto se debe a que sus tres circunscripciones son de gran magnitud. Cuanto mayor sea el tamaño de las circunscripciones, mayor será la proporcionalidad del reparto de escaños a los partidos. Sin embargo, el sistema electoral vasco al mismo tiempo provoca discordancias entre votos y escaños por el mero hecho de que el reparto de escaños a los partidos se realiza de manera independiente en cada una de las circunscripciones. Ejemplos de tales discordancias entre votos y escaños entre los partidos ocurrieron en las elecciones de 1990, 2012 y 2024, las cuales aquí analizamos.
El actual sistema electoral vasco establece una barrera del 3% de los votos válidos (votos emitidos a candidaturas más votos en blanco) para poder participar en el reparto de escaños en cada una de las tres circunscripciones por separado. De esta manera, obteniendo al menos el 3% de los votos de una circunscripción hay muchas posibilidades de conseguir al menos un escaño de los 25 diputados que se reparten en esa circunscripción (Llera, 1998a). De hecho, en las últimas elecciones autonómicas vascas celebradas en 2024 en Álava, Vox, con tan solo el 3,71%, y Sumar, con el 3,69% de los votos, obtuvieron un escaño cada uno respectivamente. De esta manera, con el 4% de los votos en una circunscripción hay garantía absoluta de conseguir representación en ella.
El objetivo principal del presente artículo consiste en demostrar cómo las discordancias entre votos y escaños entre los partidos vienen dadas por no hacer un reparto más proporcional entre las tres circunscripciones vascas teniendo en cuenta las poblaciones actualizadas, y por no tener en cuenta los votos totales de los partidos a nivel global de toda la comunidad autónoma vasca. Ante esto, proponemos como alternativa tener en cuenta la población actualizada de cada circunscripción para hacer un reparto de escaños a las circunscripciones más proporcional, tener en cuenta los votos totales de los partidos para repartir los escaños globalmente a los partidos a nivel autonómico, aplicando barreras continuas del 1% y 3%, y finalmente hacer un reparto de los escaños totales de los partidos entre las circunscripciones mediante el método biproporcional.
En el marco teórico se hace una breve revisión de la bibliografía sobre referencias bibliográficas que ya analizaron previamente el sistema electoral español y a nivel autonómico, incluido el sistema electoral vasco. Seguidamente, en el apartado de metodología se explica nuestra propuesta, que consiste en, primeramente, hacer un reparto de escaños más proporcional a las tres circunscripciones según su población actualizada, tener en cuenta los votos totales de los partidos para obtener sus escaños globales aplicando barreras continuas del 1% y 3%, y finalmente aplicar un método de reparto biproporcional teniendo en cuenta escaños a las circunscripciones y escaños totales a los partidos. En el apartado de resultados, se explica cómo se aplicaría nuestra propuesta de biproporcionalidad en las últimas elecciones vascas de 1990, 2012 y 2024, según lo explicado en el apartado de metodología. Finalmente, en las conclusiones se confirma el problema de las discordancias entre votos y escaños propias del actual sistema electoral vasco, y cómo nuestra propuesta eliminaría estas discordancias y combinaría representatividad y gobernabilidad, primando a los partidos más votados.
La bibliografía en ciencia política y sociología electoral viene mostrando interés en el análisis del sistema electoral español y en su reforma en general (Gambino, 2009; Lago y Lago, 2000; Montero, 1997; Montero y Riera, 2008; 2010; Oñate y Ocaña, 2000; Pallarés, 1981; Ramírez et al., 2013, pp. 29-73, 87-105; Riera, 2013; Vallès, 1986) y a nivel autonómico en particular (Delgado, 2011; Falcó y Verge, 2013; Gómez y Cabeza, 2013; Lagares y Oñate, 2019, pp. 165-187; Lago y Montero, 2004; Llera, 2016a, pp. 27- 63; 2016b, pp. 247-265; 1998b, pp. 315-318; Libbrecht et al., 2011; Mancisidor, 1985; Montero y Font, 1991; Montero et al., 1992; Ortega y Oñate, 2019, pp. 205-224; Padró y Colomer, 1992; Pallarés, 1981; 1991; 1998, pp. 221-245; Schakel, 2011). Tras los pactos autonómicos en la Transición española entre UCD y PSOE hay un interés por generalizar, homogeneizar o extrapolar el sistema electoral para el Congreso de los Diputados entre los sistemas electorales autonómicos (Ortega y Oñate, 2019, pp. 205-224; Vallès, 1988). Así, la mayoría de las comunidades autónomas imitan o se inspiran, al menos en gran parte, en la legislación nacional establecida por la Constitución española en general y por la LOREG de 1985 en particular (Llera, 1998a). En concreto, el sistema electoral vasco imita de la LOREG de 1985 aspectos importantes tales como que los distritos electorales coinciden con las actuales provincias vascas (Álava, Guipúzcoa y Vizcaya), aplicación del método de reparto proporcional d’Hondt para repartir los escaños a los partidos de manera independiente en cada circunscripción, listas cerradas y bloqueadas, y barrera electoral del 3% a los partidos en cada circunscripción para participar en el reparto de escaños en cada circunscripción por separado (Ortega y Oñate, 2019, pp. 205-224; Ley 5/1990 de 15 de junio de elecciones al Parlamento Vasco).
La LOREG de 1985 no establece un tamaño ideal de los parlamentos autonómicos, sino que cada comunidad autónoma establece un tamaño por criterios presupuestarios, políticos o históricos sin tener apenas en cuenta otros criterios demográficos o de proporcionalidad (Baras y Botella, 1996, pp. 128-143; Jaráiz y Castro, 2022, pp. 38-56; Llera, 1998a; Nohlen, 1981, pp. 106-112; Ortega y Oñate, 2019, pp. 205-224; Ortega y Trujillo, 2022, pp. 251-262). Una vez se delimita el tamaño del parlamento, es de gran importancia delimitar también el tamaño de los distritos o circunscripciones electorales por las consecuencias políticas que pueden tener en los resultados electorales (Baras y Botella, 1996, pp. 128-143; Jaráiz y Castro, 2022, pp. 38-56; Lijphart, 1990; Nohlen, 1981, pp. 106-112; 2004, pp. 92-134; Ortega y Trujillo, 2022, pp. 251-262; Taagepera y Shugart, 1989, pp. 61-141). O dicho de otro modo, el tamaño o la magnitud de las circunscripciones pueden ser la principal causa de desigualdad y desproporcionalidad, ya que en las circunscripciones pequeñas y medianas se tiende a favorecer a los partidos mayoritarios (Jaráiz y Castro, 2022, pp. 38-56; Llera, 2016a, pp. 27-63; 2016b, pp. 247-265; 1998b, pp. 315-318; Montero, Llera y Torcal, 1992; Nohlen, 1983; 2004, pp. 92-134; Ortega y Oñate, 2019, pp. 205-224; Ortega y Trujillo, 2022, pp. 251-262; Taagepera y Shugart, 1989, pp. 61-141). Tanto en el sistema electoral español como en el sistema electoral vasco las circunscripciones electorales son plurinominales (más de un escaño por circunscripción), las cuales coinciden con las actuales provincias. En el caso del Parlamento Vasco se reparten 25 diputados a cada una de las tres circunscripciones sin tener en cuenta sus poblaciones de derecho actualizadas, sino que dicho reparto se hace por convenio meramente político e histórico (Baras y Botella, 1996, pp. 128-143; Llera, 2016a, pp. 27-63; 2016b, pp. 247-265; 1998a; 1998b, pp. 315-318; Nohlen, 1981, pp. 106-112; Taagepera y Shugart, 1989, pp. 61-141). De hecho, si tenemos en cuenta la última población de derecho de 2023 que habría que haber tenido en cuenta para las últimas elecciones vascas celebradas en 2024, la población de Álava era 336.686 habitantes frente a la población de Vizcaya que era 1.154.306. Es decir, la población de Vizcaya era 3,43 veces mayor que la población de Álava, pero a ambas circunscripciones les corresponden 25 diputados fijos por criterios políticos e históricos y no poblacionales. El reparto de escaños entre las tres circunscripciones no es proporcional. No obstante, sí es proporcional el reparto de escaños a los partidos en cada circunscripción usando el método d’Hondt que, siendo un método proporcional, aun así tiende a primar a los partidos grandes, castiga la fragmentación y a los partidos pequeños (López, 2015; Laakso y Taagepera, 1979; Llera, 2016a, pp. 27-63; 2016b, pp. 247-265; 2016, pp. 247-265; Nohlen, 1981, pp. 127-141; Ortega y Oñate, 2019, pp. 205-224; Ramírez et al., 2013, pp. 29-73, 87-105; Sartori, 1999, pp. 149-157; Taagepera y Shugart, 1989, pp. 61-141). Según Llera (1998a), el cálculo del tamaño de las circunscripciones es la verdadera causa de las distorsiones sobre la igualdad y la desproporcionalidad del voto, ya que puede haber circunscripciones infrarrepresentadas o sobrerrepresentadas en número de escaños respecto a sus poblaciones, tal y como sucede actualmente en la elección del Parlamento Vasco. Esto provoca grandes desigualdades del voto entre los ciudadanos según en qué circunscripción voten, ya que en el caso del País Vasco el voto de un ciudadano de Álava vale mucho más que el de un ciudadano de Guipúzcoa. Ninguna comunidad autónoma tiene un reparto de escaños a las circunscripciones ajustado a las actuales cuotas poblacionales. Esto se debe a que en ocasiones se dan excesivos escaños iniciales o simplemente estos repartos se hacen en base a acuerdos o criterios totalmente políticos sin tener en cuenta la población de derecho, como es el caso del País Vasco (García, 2004; Llera, 1998a). Esto, unido a los repartos independientes de escaños a los partidos en cada circunscripción, puede provocar y de hecho ha provocado discordancias entre votos y escaños en algunas de las elecciones autonómicas, incluido el País Vasco.
Cuanto mayor sea el tamaño de las circunscripciones más proporcional será el reparto de escaños si usamos un método electoral proporcional como Saint-Laguë o d’Hondt, entre otros. El sistema electoral vasco tiene la ventaja de ser un sistema electoral muy proporcional debido a que da un gran número de escaños a sus tres circunscripciones independientemente de sus poblaciones. Este elevado número de escaños a sus circunscripciones sin tener en cuenta sus poblaciones puede parecer a priori un tanto injusto, pero, por otro lado, fomenta resultados proporcionales debido al gran tamaño de sus circunscripciones. En cada una de las circunscripciones cualquier partido que supere la barrera legal del 3% puede aspirar al menos a obtener un escaño, lo cual hace del sistema electoral vasco un sistema electoral muy proporcional, pero con grandes posibilidades de discordancias entre votos y escaños entre partidos políticos (López, 2015). No obstante, esta barrera legal del 3% apenas tendría utilidad en el caso del País Vasco, ya que sería muy poco probable que algún partido con menos del 3% de los votos aplicando el método d’Hondt obtuviera representación, teniendo en cuenta que este método castiga a los partidos pequeños. Teniendo en cuenta que el método d’Hondt es un método proporcional que favorece a los partidos grandes y castiga la fragmentación y a los partidos pequeños, el verdadero efecto corrector del método d’Hondt es el tamaño de la circunscripción. Cuanto mayor sea el tamaño de las circunscripciones, mayor será el efecto corrector del método d’Hondt. Es decir, los efectos desproporcionales de aplicar el método d’Hondt en circunscripciones pequeñas y medianas se reducen sustancialmente en el ámbito de las elecciones autonómicas debido al mayor tamaño de sus circunscripciones en comparación con las elecciones generales (Gallagher, 1991; Llera, 1998b, pp. 315-318; Lijphart, 1985; Montero, 1992; Montero, Llera y Torcal, 1992; Nohlen, 1981, pp. 127-141; Ortega y Oñate, 2019, pp. 205-224; Taagepera y Shugart, 1989, pp. 61-141). El sistema electoral vasco es muy proporcional debido al gran tamaño de sus circunscripciones, pero al mismo tiempo es muy proclive a que se produzcan discordancias tal y como sucedió en las elecciones de 1990, 2012 y 2024, en las que partidos con más votos que otros se quedaron sin representación. Hay que destacar que los términos proporcionalidad y discordancia entre votos y escaños no han de ser confundidos, ya que son términos totalmente diferentes que pueden coexistir al mismo tiempo en un mismo sistema electoral, como es el caso del sistema electoral vasco. Un sistema electoral como el vasco puede provocar discordancias y al mismo tiempo ser proporcional debido a que sus tres circunscripciones son de gran magnitud. Cuanto mayor sea el tamaño de las circunscripciones, mayor será la proporcionalidad del reparto de escaños a los partidos. No obstante, el sistema electoral vasco al mismo tiempo provoca discordancias entres votos y escaños por el mero hecho de que el reparto de escaños a los partidos se realiza de manera independiente en cada una de las circunscripciones. En el presente artículo analizamos tres elecciones celebradas en 1990, 2012 y 2024 en las que ocurrieron discordancias entre votos y escaños entre los partidos.
Actualmente las comunidades autónomas en sus respectivas elecciones autonómicas utilizan el método d’Hondt para el reparto de escaños a los partidos de forma independiente en cada circunscripción. La mayoría de las comunidades autónomas utilizan una barrera del 3% al igual que la actual LOREG de 1985 (Baras y Botella, 1996, pp. 128-143; Jaráiz y Castro, 2022, pp. 38-56; Llera, 1998a; 1998b, pp. 315-318; Nohlen, 1981, pp. 127-141; Ortega y Trujillo, 2022, pp. 251-262; Sartori, 1999, pp. 149-157; Taagepera y Shugart, 1989, pp. 61-141). No obstante, hay comunidades autónomas como Madrid o la Comunidad Valenciana que establecen una barrera del 5% de votos válidos para poder participar en el reparto de escaños. Aun siendo la Comunidad Valenciana una comunidad autónoma compuesta por tres provincias, esta barrera del 5% se aplica a los votos totales a nivel autonómico, pero los repartos de escaños a los partidos se hacen de forma independiente en cada circunscripción al igual que en las demás comunidades autónomas con más de una circunscripción. Esta barrera es poco común, ya que en el resto de las comunidades autónomas con más de una provincia se aplican las directrices generales establecidas por la LOREG: barrera del 3% de votos válidos (votos a candidaturas más votos en blanco) en cada circunscripción a la hora de repartir los escaños a los partidos de manera independiente en cada circunscripción.
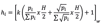
Nos centramos en las elecciones autonómicas al Parlamento Vasco de 1990, 2012 y 2024 en las cuales se produjeron discordancias entre votos y escaños entre los partidos. Proponemos un reparto de escaños a las circunscripciones diferente al actual, ya que es uno de los motivos que provoca discordancias entre votos y escaños entre los partidos. La propuesta consiste en asignar un escaño inicial a cada circunscripción y el resto de escaños se reparten de la siguiente manera: la mitad de los escaños restantes de forma proporcional a la población actualizada de derecho y la otra mitad de escaños restantes mediante la raíz cuadrada de la población actualizada de derecho de cada circunscripción, redondeando las fracciones con el método de Sainte-Laguë (López, 2015; Grimmett et al., 2017; Ramírez et al., 2013, pp. 29-73, 87-105). Hay que calcular un factor k tal que:

Donde H es el total de escaños a distribuir en una comunidad autónoma y pi es la población de la circunscripción i. Con dicho k el tamaño hi de la circunscripción i es:

Así, cualquier circunscripción por pequeña que sea recibe siempre al menos un escaño. De esta forma, se da cierta ventaja en escaños a las circunscripciones más pequeñas, quedando las más grandes ligeramente infrarrepresentadas respecto de su población. No obstante, ese déficit de proporcionalidad no afecta a la asignación de escaños a los partidos porque ese reparto se hace teniendo en cuenta sus votos totales y, por tanto, no pueden darse discordancias entre votos totales y escaños entre partidos. Finalmente, con la técnica de la biproporcionalidad se distribuyen los escaños de los partidos entre las tres circunscripciones electorales (Álava, Guipúzcoa y Vizcaya).
Para obtener la representación global de los partidos en las últimas elecciones al Parlamento Vasco de 1990, 2012 y 2024, reduciremos sus votos aplicando una barrera continua del 1% y del 3% que consiste en calcular el 1% y el 3% de los votos totales emitidos a las candidaturas redondeando al entero más próximo (Ramírez et al., 2013, pp. 29-73, 87-105). Esta cantidad se resta a los votos totales de cada partido, obteniendo así los votos reducidos de cada partido. Los partidos que no superen el 1% o el 3% de los votos totales emitidos a candidaturas quedarán con cero votos al aplicarles los votos reducidos y por tanto quedarán obviamente fuera del reparto. Los partidos que superen el 1% o el 3% formarán parte del reparto de escaños, pero no necesariamente implica que reciban escaños, ya que el reparto se hace en proporción a los votos totales reducidos usando el método d’Hondt. Además, en muchos casos, después de aplicarles la reducción de votos, quedan con apenas muy pocos votos reducidos que no les permiten lograr ningún escaño. Tengamos en cuenta además que el método d’Hondt, sin necesidad de ningún tipo de barrera porcentual clásica, castiga la fragmentación, penaliza a los partidos pequeños y favorece a los grandes partidos (López, 2015; García, 2004; Llera, 2016a, pp. 27-63; 2016b, pp. 247-265; Nohlen, 1981, pp. 127-141; Ortega y Oñate, 2019, pp. 205-224; Ramírez et al., 2013, pp. 29-73, 87-105; Sartori, 1999, pp. 149-157).
En la mayoría de los casos los tamaños de las circunscripciones suelen asignarse en función de la población, primando en cierta medida a las circunscripciones más pequeñas con escaños iniciales. La asignación de los escaños a los partidos debería obtenerse en función de sus votos totales con cierta ventaja a los más votados para evitar una excesiva fragmentación del Parlamento y garantizar una mínima gobernabilidad (López, 2015; Llera, 2016a, pp. 27-63; 2016b, pp. 247-265; Márquez y Ramírez, 1998; Ramírez et al., 2013, pp. 29-73, 87-105; Ramírez y Márquez, 2010; Sartori, 1999, pp. 149-157). Cuando se establecen, por un lado, los tamaños de las circunscripciones según sus poblaciones y, por otro, la representación de los partidos según votos totales estamos ante un problema de reparto consistente en determinar cómo distribuir los escaños de cada partido en cada una de las circunscripciones, de forma que cada una reciba en total tantos escaños como se había calculado previamente. Asignar los escaños de forma que se cumplan estas restricciones es un problema de reparto matricial con restricciones por filas y columnas. Es lo que se conoce como doble restricción (López, 2015; Gassner, 1991; Maier, 2006, pp. 105-116; Maier et al., 2010; Ramírez et al., 2013, pp. 29-73, 87-105).
Con el método de Sainte-Laguë sería inmediato distribuir los escaños de cada partido entre las circunscripciones en proporción a sus votos. Bastaría calcular para cada partido el factor adecuado y redondear cada fracción al entero más próximo. No obstante, en tal caso no se tiene garantía de que las circunscripciones reciban los escaños que indican sus tamaños. Aun así, no habría garantía de que el total de escaños recibidos por cada partido sea correcto.
Conocemos los votos que ha obtenido cada partido en cada circunscripción electoral, y el total de escaños que debe recibir cada partido y cada circunscripción electoral. Ahora hay que calcular cuántos escaños recibe cada partido en cada circunscripción. Si aplicamos repartos para cada fila, es decir, en cada circunscripción (como se ha hecho en el sentido clásico), las marginales que aparecen en la última columna se verifican. Pero no hay garantía de que se verifiquen las marginales para los partidos (columnas). Si aplicamos repartos por columnas, es decir, distribuimos los escaños de cada partido entre las circunscripciones en función de los votos que ese partido ha sacado en las diferentes circunscripciones, tenemos garantizado que el reparto matricial obtenido verifica las marginales para los partidos (columnas), pero es posible que las marginales fallen para las circunscripciones (filas). Los repartos por filas (circunscripciones) consistirían en aplicar un factor y redondear de acuerdo con un criterio. En los repartos por columnas (partidos) el factor se aplica a cada columna. La idea de la biproporcionalidad es aplicar factores simultáneamente a las filas de la tabla de votos y a las columnas de forma que, redondeando las fracciones obtenidas con el método establecido, las sumas por filas y por columnas coincidan con las marginales establecidas (Gassner, 1991; Maier, 2006, pp. 105-116; Maier et al., 2010; Ramírez et al., 2013, pp. 29-73, 87-105). Para el reparto biproporcional debemos poner los votos de todos los partidos en todas las circunscripciones en una tabla rectangular y multiplicar simultáneamente las filas y las columnas de la tabla por factores adecuados, de tal manera que los redondeos con Sainte-Laguë (o con el método que se haya elegido) cumplan las restricciones tanto para las circunscripciones como para los partidos (Gassner, 1991; Maier, 2006, pp. 105-116; Maier et al., 2010; Ramírez et al., 2013, pp. 29-73, 87-105).
En el País Vasco no se aplica proporcionalidad respecto a la población de cada circunscripción para repartir los 75 escaños del Parlamento Vasco entre las tres circunscripciones (García, 2004; Llera, 2016a, pp. 27-63; 2016b, pp. 247-265; 1998a; 1998b, pp. 315-318), sino que se hace por un acuerdo totalmente político e histórico establecido en el artículo 10 del título II de la ley que regula las elecciones al Parlamento Vasco de 1990, el cual asigna a cada circunscripción 25 escaños. Así, tenemos que Álava está extremadamente sobrerrepresentada, ya que actualmente tiene 25 escaños cuando debería corresponderle menos de la mitad por su cuota de población. Por el contrario, Vizcaya está extremadamente infrarrepresentada, ya que actualmente tiene asignados 25 escaños cuando debería corresponderle proporcionalmente muchos más por su actual cuota poblacional (tercera columna de las tablas 1, 2 y 3). Como se comentó en el apartado de metodología, nuestra propuesta asigna un escaño inicial a cada circunscripción y el resto de escaños se reparten la mitad de los escaños (36 escaños) de forma proporcional a la población actualizada mediante el método Sainte-Laguë. La otra mitad (36 escaños) se calcula mediante la raíz cuadrada de la población actualizada de cada circunscripción. De esta manera las circunscripciones menos pobladas como Álava quedan ligeramente sobrerrepresentadas y las circunscripciones más pobladas como Guipúzcoa quedan ligeramente infrarrepresentadas. Siguiendo este método de reparto de escaños a las circunscripciones, obtenemos el reparto que aparece en la cuarta columna (escaños propuestos) de las tablas 1, 2 y 3 para las elecciones analizadas de 1990, 2012 y 2024 respectivamente.
|
Circunscripción |
Población |
Cuota |
Escaños |
|
|
Propuestos |
Reales |
|||
|
Vizcaya |
1.170.594 |
41,28 |
37 |
25 |
|
Guipúzcoa |
685.181 |
24,16 |
25 |
25 |
|
Álava |
271.238 |
9,56 |
13 |
25 |
|
total |
2.127.013 |
75,00 |
75 |
75 |
Fuente: elaboración propia a partir de www.euskadi.eus/elecciones y www.ine.es.
|
Circunscripción |
Población |
Cuota |
Escaños |
|
|
Propuestos |
Reales |
|||
|
Vizcaya |
1.155.772 |
39,68 |
36 |
25 |
|
Guipúzcoa |
709.607 |
24,36 |
25 |
25 |
|
Álava |
319.227 |
10,96 |
14 |
25 |
|
total |
2.184.606 |
75,00 |
75 |
75 |
Fuente: elaboración propia a partir de www.euskadi.eus/elecciones y www.ine.es.
|
Circunscripción |
Población |
Cuota |
Escaños |
|
|
Propuestos |
Reales |
|||
|
Vizcaya |
1.154.306 |
39,01 |
35 |
25 |
|
Guipúzcoa |
728.027 |
24,61 |
25 |
25 |
|
Álava |
336.686 |
11,38 |
15 |
25 |
|
total |
2.219.019 |
75,00 |
75 |
75 |
Fuente: elaboración propia a partir de www.euskadi.eus/elecciones y www.ine.es.
Este actual reparto no proporcional de escaños entre las circunscripciones provoca en parte discordancias entre votos y escaños entre los partidos. Otro aspecto que también provoca estas discordancias viene determinado por el hecho de realizar repartos independientes de escaños a los partidos en cada circunscripción sin tener en cuenta votos totales de los partidos a nivel autonómico. Observamos claros ejemplos de discordancias entre votos y escaños en las tres elecciones analizadas de 1990, 2012 y 2024. En las elecciones de 1990 hay una gran discordancia entre Unidad Alavesa, que con 14.351 votos obtuvo tres escaños, mientras que Ezker Batua con 14.440 votos se quedó sin representación (cuarta columna de la tabla 4). En las elecciones de 2012, Unión Progreso y Democracia, con 21.539 votos obtuvo un escaño, mientras que Izquierda Unida con 30.318 votos se quedó sin representación (cuarta columna de la tabla 5). Finalmente, en las últimas elecciones celebradas en 2024, Vox, con 21.396 votos totales, obtuvo un escaño, mientras que Elkarrekin, con 23.679 votos, se quedó sin representación (cuarta columna de la tabla 6).
Álava es de las tres provincias la de menos tradición nacionalista y su sobrerrepresentación hace que los partidos de ámbito nacional, como, por ejemplo, Vox, estén sobrerrepresentados en las elecciones de 2024 (tabla 6). Mientras que, por el contrario, Vizcaya es históricamente de tradición más nacionalista y su infrarrepresentación hace que los partidos nacionalistas estén ligeramente infrarrepresentados (López, 2015; Ibarra y Ahedo, 2004; Jaráiz y Castro, 2022, pp. 38-56; Lagares y Oñate, 2019, pp. 165-187; Llera, 2016a, pp. 27- 63; 2016b, pp. 247-265; Ortega y Trujillo, 2022, pp. 251-262; Rivera et al., 2019, pp. 299-317). Una simple distribución más proporcional de escaños entre las circunscripciones hubiera evitado discordancias entre votos y escaños en las elecciones de 2012 y 2024, tal y como podemos observar en la quinta columna de las tablas 5 y 6. No obstante, no está garantizado que una distribución de escaños a las circunscripciones más proporcional a su población evite posibles discordancias entre votos y escaños entre los partidos. Es decir, las posibilidades de dichas discordancias disminuyen, pero siguen siendo posibles. De hecho, podemos observar que en las elecciones de 1990 tener solamente en cuenta la población de derecho actualizada no evita totalmente que se produzcan discordancias entre votos y escaños entre los partidos. Teniendo en cuenta la población de derecho actualizada en las elecciones de 1990, Unidad Alavesa pasaría de tener tres escaños a tan solo uno, reduciéndose así la discordancia, pero no evitándose totalmente (columnas cuarta y quinta de la tabla 4).
La actual ley electoral vasca aplica el método d’Hondt en cada circunscripción con una barrera discontinua clásica del 3% de los votos válidos en cada circunscripción por separado. Esta barrera discontinua clásica consiste simplemente en excluir del reparto de escaños a todos los partidos que no alancen al menos el 3% de los votos válidos (votos a candidaturas más votos en blanco) en una circunscripción concreta. Con este tipo de barrera un partido que alcance el 3% de los votos podrá participar en el reparto de escaños, aunque no es seguro que obtenga al menos un escaño. Por el contrario, un partido que por un solo voto no alcance el 3% de los votos válidos, quedaría excluido del reparto de escaños cuando por su cuota podría corresponderle al menos un escaño en algunos casos.
Una manera de evitar estas discontinuidades en el reparto de escaños a los partidos consistiría en aplicar algún tipo de barrera continua con el porcentaje que previamente establezcamos. La barrera continua consiste en aplicar una reducción de votos igual para todos los partidos que se calcula aplicando un porcentaje previamente establecido sobre el total de votos a candidaturas. Tomando como ejemplo las últimas elecciones de 2024, aplicaremos una reducción del 1% sobre el total de votos a candidaturas, lo cual supone 10.522 votos, y del 3% sobre el total de votos a candidaturas, que supone 31.565 votos. Con la barrera continua del 1% del número de votos a reducir, se resta a los votos totales reales a candidaturas de cada partido, de tal manera que los partidos con menos de 10.522 votos quedarían excluidos del reparto de escaños, ya que sus votos quedarían reducidos a cero. De la misma manera, con la barrera continua del 3% del número de votos a reducir, se resta a los votos totales reales a candidaturas de cada partido, de tal manera que los partidos con menos de 31.565 votos quedarían excluidos del reparto de escaños, ya que sus votos quedarían reducidos a cero. Este mismo procedimiento lo aplicaríamos a las otras dos elecciones analizadas de 1990 y 2012. Además de evitar así discontinuidades en el reparto de escaños, las barreras continuas a veces permiten que algún partido más consiga representación y que el partido vencedor tenga alguna prima de escaños, lo cual facilita la gobernabilidad y la estabilidad (Márquez y Ramírez, 1998; Ortega y Oñate, 2019, pp. 205-224; Ramírez et al., 2013, pp. 29-73, 87-105; Ramírez y Márquez, 2010).
En definitiva, tener en cuenta los votos totales de cada partido y aplicar una barrera continua del 1% o del 3% a los votos totales de cada partido evitaría estas discordancias entre votos y escaños entre los partidos, mejoraría la gobernabilidad (primaría al partido vencedor y a los partidos más votados), y mejoraría la representatividad (algún partido más podría obtener representación). Aplicando una barrera continua del 1% en las últimas elecciones de 2024, el partido vencedor (PNV) obtendría una prima de dos escaños más de los que obtuvo, y un partido más (Elkarrekin) obtendría representación con un escaño, tal y como podemos observar en la penúltima columna de la tabla 6. Si aplicáramos una barrera continua del 3% a las elecciones vascas de 2024, el partido vencedor (PNV) obtendría una prima aún mayor de cuatro escaños más de los que obtuvo, pero, sin embargo, Sumar y Elkarrekin no obtendría representación (última columna de la tabla 6). Por tanto, cuanto mayor sea la barrera continua aplicada, mayor será la prima al partido vencedor y a los partidos más votados, y menor será el número de partidos con representación, reduciéndose así la fragmentación y fomentándose la gobernabilidad.
|
Partido |
Votos |
Cuota |
Escaños |
|||
|
Reales |
Población actualiza. |
Barrera 1% |
Barrera 3% |
|||
|
PNV |
289.701 |
21,21 |
22 |
24 |
24 |
26 |
|
PSE/PSOE |
202.736 |
14,84 |
16 |
16 |
16 |
17 |
|
HB |
186.410 |
13,65 |
13 |
14 |
15 |
15 |
|
EA |
115.703 |
8,47 |
9 |
9 |
9 |
8 |
|
PP |
83.719 |
6,13 |
6 |
5 |
6 |
5 |
|
EE |
79.105 |
5,79 |
6 |
6 |
5 |
4 |
|
EB |
14.440 |
1,06 |
||||
|
UA |
14.351 |
1,05 |
3 |
1 |
||
|
Otros |
38.134 |
2,79 |
||||
|
Total |
1.024.299 |
75,00 |
75 |
75 |
75 |
75 |
Fuente: elaboración propia a partir de www.euskadi.eus/elecciones y www.ine.es.
|
Partido |
Votos |
Cuota |
Escaños |
|||
|
Reales |
Población actualiza. |
Barrera 1% |
Barrera 3% |
|||
|
PNV |
384.766 |
25,62 |
27 |
29 |
29 |
31 |
|
EH-Bildu |
277.923 |
18,51 |
21 |
21 |
21 |
21 |
|
PSE-EE |
212.809 |
14,17 |
16 |
15 |
15 |
15 |
|
PP |
130.584 |
8,69 |
10 |
9 |
9 |
8 |
|
IU-UP |
30.318 |
2,02 |
1 |
1 |
||
|
UPD |
21.539 |
1,43 |
1 |
|||
|
Otros |
68.461 |
4,56 |
||||
|
Total |
1.126.400 |
75,00 |
75 |
75 |
75 |
75 |
Fuente: elaboración propia a partir de www.euskadi.eus/elecciones y www.ine.es.
|
Partido |
Votos |
Cuota |
Escaños |
|||
|
Reales |
Población actualiza. |
Barrera 1% |
Barrera 3% |
|||
|
PNV |
370.554 |
26,41 |
27 |
29 |
29 |
31 |
|
EH-Bildu |
341.735 |
24,36 |
27 |
27 |
26 |
28 |
|
PSE-EE |
149.660 |
10,67 |
12 |
12 |
11 |
10 |
|
PP |
97.149 |
6,92 |
7 |
6 |
7 |
6 |
|
Sumar |
35.092 |
2,50 |
1 |
1 |
1 |
|
|
Elkarrekin |
23.679 |
1,69 |
1 |
|||
|
Vox |
21.396 |
1,53 |
1 |
|||
|
Otros |
12.905 |
0,92 |
||||
|
1.052.170 |
75,00 |
75 |
75 |
75 |
75 |
|
Fuente: elaboración propia a partir de www.euskadi.eus/elecciones y www.ine.es.
Una vez resuelto el reparto de escaños totales a los partidos, quedarían por repartir estos escaños totales a los partidos en cada circunscripción a través de un reparto biproporcional. Este tipo de reparto tiene en cuenta el problema de reparto de escaños entre la marginal por filas (reparto de escaños a las circunscripciones en la última columna de las tablas 7, 8, 9, 10, 11 y 12) y la marginal por columnas (reparto de escaños a los partidos en la última fila de las tablas 7, 8, 9, 10, 11 y 12). Es decir, conocemos los votos que ha obtenido cada partido en cada circunscripción electoral, el total de escaños que debe recibir cada partido y los escaños correspondientes a cada circunscripción que previamente hemos calculado. Ahora queda por calcular cuántos escaños recibe cada partido en cada circunscripción.
Si aplicamos repartos para cada fila, es decir, en cada circunscripción las marginales que aparecen en la última columna de las tablas 7, 8, 9, 10, 11 y 12 se verifican. No obstante, no hay garantía de que se verifiquen las marginales para los partidos, es decir, las que aparecen en la última fila de las tablas 7, 8, 9, 10, 11 y 12. Si aplicamos repartos por columnas, es decir, distribuimos los escaños de cada partido entre las circunscripciones en función de los votos que ese partido ha obtenido en las diferentes circunscripciones (última fila de las tablas 7, 8, 9, 10, 11 y 12), hay garantía de que el reparto matricial obtenido verifica las marginales para los partidos, pero es posible que las marginales fallen para las circunscripciones (última columna de las tablas 7, 8, 9, 10, 11 y 12). Los repartos por filas consisten en aplicar un factor y redondear de acuerdo con el método electoral que previamente hayamos establecido.
La biproporcionalidad consiste en aplicar factores simultáneamente a las filas de votos y a las columnas de manera que, redondeando las fracciones obtenidas con el método electoral previamente establecido, las sumas por filas y por columnas coincidan con las marginales establecidas. En nuestro caso, hemos elegido Saint-Laguë para realizar el reparto biproporcional. Para el reparto biproporcional debemos ubicar los votos de todos los partidos en todas las circunscripciones en una tabla rectangular y multiplicar simultáneamente las filas y las columnas de la tabla por factores adecuados, de tal manera que los redondeos con el método electoral previamente establecido cumplan las restricciones tanto para las circunscripciones como para los partidos (tablas 7, 8, 9, 10, 11 y 12). Del mismo modo, en los repartos por columnas el factor se aplica a cada columna. Una solución factible cuando no hay ceros en la tabla de votos está garantizada y fue demostrada por Balinski y Demange (1989a y 1989b). Para encontrar esta solución necesitamos un programa informático adecuado para realizar el reparto biproporcional, ya que con una simple calculadora o una hoja de cálculo no es posible realizarlo. En nuestro caso hemos usado el programa informático Bazi (Maier y Pukelsheim, 2007).
|
PNV |
PSE |
HB |
EA |
PP |
EE |
Total |
|
|
Vizcaya |
14 |
8 |
7 |
3 |
3 |
2 |
37 |
|
Guipúzc. |
6 |
5 |
6 |
5 |
1 |
2 |
25 |
|
Álava |
4 |
3 |
2 |
1 |
2 |
1 |
13 |
|
Total |
24 |
16 |
15 |
9 |
6 |
5 |
75 |
Fuente: elaboración propia a partir de www.euskadi.eus/elecciones y www.ine.es.
|
PNV |
PSE |
HB |
EA |
PP |
EE |
Total |
|
|
Vizcaya |
15 |
8 |
6 |
3 |
3 |
2 |
37 |
|
Guipúzc. |
7 |
5 |
7 |
4 |
1 |
1 |
25 |
|
Álava |
4 |
4 |
2 |
1 |
1 |
1 |
13 |
|
Total |
26 |
17 |
15 |
8 |
5 |
4 |
75 |
Fuente: elaboración propia a partir de www.euskadi.eus/elecciones y www.ine.es.
|
PNV |
EH-Bildu |
PSE-EE |
PP |
IU-UP |
Total |
|
|
Vizcaya |
16 |
8 |
7 |
4 |
1 |
36 |
|
Guipúzc. |
9 |
9 |
5 |
2 |
25 |
|
|
Álava |
4 |
4 |
3 |
3 |
14 |
|
|
Total |
29 |
21 |
15 |
9 |
1 |
75 |
Fuente: elaboración propia a partir de www.euskadi.eus/elecciones y www.ine.es.
|
PNV |
EH-Bildu |
PSE-EE |
PP |
Total |
|
|
Vizcaya |
17 |
8 |
7 |
4 |
36 |
|
Guipúzcoa |
9 |
9 |
5 |
2 |
25 |
|
Álava |
5 |
4 |
3 |
2 |
14 |
|
Total |
31 |
21 |
15 |
8 |
75 |
Fuente: elaboración propia a partir de www.euskadi.eus/elecciones y www.ine.es.
|
PNV |
EH-Bild. |
PSE-EE |
PP |
Sumar |
Elkarre. |
Total |
|
|
Vizcaya |
15 |
10 |
5 |
3 |
1 |
1 |
35 |
|
Guipúzc. |
9 |
11 |
3 |
2 |
25 |
||
|
Álava |
5 |
5 |
3 |
2 |
15 |
||
|
Total |
29 |
26 |
11 |
7 |
1 |
1 |
75 |
Fuente: elaboración propia a partir de www.euskadi.eus/elecciones y www.ine.es.
|
PNV |
EH-Bildu |
PSE-EE |
PP |
Total |
|
|
Vizcaya |
16 |
11 |
5 |
3 |
35 |
|
Guipúzcoa |
10 |
11 |
3 |
1 |
25 |
|
Álava |
5 |
6 |
2 |
2 |
15 |
|
Total |
31 |
28 |
10 |
6 |
75 |
Fuente: elaboración propia a partir de www.euskadi.eus/elecciones y www.ine.es.
No es razonable que se produzcan discordancias entre votos y escaños en las que un partido con más votos que otro obtenga menos escaños o incluso se quede sin representación, tal y como ha ocurrido en las tres elecciones analizadas de 1990, 2012 y 2024. Discordancias que podrían acontecer de nuevo en elecciones futuras. Debiera ser más razonable que un partido con más votos que otro no se quede sin representación u obtenga más escaños que otros partidos con menos votos. Sin embargo, por convenios históricos y políticos difíciles de cambiar sería complejo aplicar nuestra propuesta de reforma del sistema electoral vasco. Paradójicamente el sistema electoral vasco tal y como está planteado favorece a los partidos de ámbito nacional por encima de los partidos nacionalistas debido a que Álava está sobrerrepresentada en número de escaños respecto a su población, ya que es una provincia históricamente menos nacionalista, aunque en la actualidad ha tendido a posturas más nacionalistas (Lagares y Oñate, 2019, pp. 165-187; Llera, 2016a, pp. 27-63; 2016b, pp. 247-265; Rivera et al., 2019, pp. 299-317). De hecho, en las últimas elecciones autonómicas vascas de 2024, EH-Bildu fue la fuerza más votada en la provincia de Álava, por encima incluso del PNV. Lo cual supone una evolución histórica considerable del voto nacionalista en esta provincia. No obstante, hay que tener en cuenta que las discordancias en las elecciones vascas no vienen tanto por la evolución del voto más o menos nacionalista de Álava, lo cual también influye, sino más bien por no tener en cuenta la población de derecho actualizada de cada una de las tres circunscripciones a la hora de repartir los escaños entre estas. Para evitar las discordancias entre votos y escaños entre partidos independientemente del tamaño de las circunscripciones, bastaría tener en cuenta votos totales de los partidos, aunque finalmente se haga un reparto final de escaños a los partidos entre las tres circunscripciones mediante el método biproporcional. No proponemos en el presente artículo un reparto totalmente proporcional de escaños entre las circunscripciones, aunque sí más proporcional que el reparto actual, que reparte 25 escaños a cada una de las tres circunscripciones por acuerdo meramente histórico y político. Nuestra propuesta otorga un escaño inicial a cada circunscripción y además aplica la raíz cuadrada de la población de cada circunscripción para repartir parte de los escaños entre las circunscripciones, lo cual otorga una ligera sobrerrepresentación a las circunscripciones pequeñas (Álava) y una ligera infrarrepresentación a las circunscripciones grandes (Guipúzcoa). Este reparto, algo más proporcional (pero no totalmente proporcional) que el actual, reduce las probabilidades de discordancias, pero no las elimina. De hecho, aplicando nuestra propuesta de reparto de escaños entre las tres circunscripciones, en las elecciones autonómicas vascas de 1990 también se produjo una leve discordancia con Unidad Alavesa (tabla 4), aunque menor que la discordancia acontecida con los resultados reales. Efectivamente, la provincia de Álava ha sufrido una importante evolución en su comportamiento electoral hacia posturas más nacionalistas. No obstante, en Álava partidos minoritarios de ámbito nacional tales como Vox o Sumar han obtenido representación en el Parlamento Vasco, como, por ejemplo, en las últimas elecciones de 2024.
Obtener el tamaño de escaños de las circunscripciones mediante un reparto proporcional a sus poblaciones disminuye las probabilidades de discordancias, pero no las elimina en absoluto mientras no se haga un reparto de escaños a los partidos teniendo en cuenta votos totales. Realizar repartos independientes en las elecciones autonómicas en comunidades autónomas con más de una circunscripción ha conllevado en varias ocasiones discordancias entre votos y escaños, tal y como ha ocurrido en las elecciones al Parlamento Vasco de 1990, 2112 y 2024. Las posibilidades de discordancias entre votos y escaños se acrecientan cuando los repartos de escaños a las circunscripciones no se hacen en proporción a la población, al menos en una parte de los escaños. Algunas comunidades autónomas asignan escaños iniciales que pueden variar desde un escaño mínimo inicial hasta más de un escaño según determine el sistema electoral concreto de cada comunidad autónoma. El resto de escaños se reparten proporcionalmente a la población. Este método es lo que se conoce por método lineal, en el que la constante sería el número inicial de escaños. En cambio, otras comunidades autónomas reparten los escaños a las circunscripciones por acuerdos meramente políticos, sin tener en cuenta ningún criterio proporcional a la población, como es el caso del País Vasco.
Mejorar la representatividad con algún partido más que obtiene representación (mayor fragmentación) en absoluto es incompatible con mejorar gobernabilidad y estabilidad. Precisamente el objetivo principal del presente artículo consiste en demostrar que representatividad y gobernabilidad se pueden dar al mismo tiempo y por tanto ser compatibles. Como se puede observar en las tablas 4, 5 y 6, aplicando una simple barrera continua del 1%, el partido vencedor (PNV) obtendría una mayor prima en escaños y al mismo tiempo algún partido más obtendría representación. Además, se evitarían discordancias entre votos y escaños siempre y cuando se tengan en cuenta los votos totales de los partidos. Evidentemente, cuanto mayor sea la barrera continua aplicada, mayor será la prima al partido vencedor y a los partidos mayoritarios mejorando la gobernabilidad, y menor sería el número de partidos con representación, reduciéndose lógicamente la fragmentación.
Llegamos a la conclusión principal de que, si los repartos independientes de escaños a los partidos se hicieran a partir de un reparto de escaños a las circunscripciones total o parcialmente proporcional a sus poblaciones, las posibilidades de discordancias entre votos y escaños se reducirían considerablemente, pero aun así podrían acontecer. No obstante, con nuestra propuesta de reparto biproporcional las posibilidades de discordancias entre votos y escaños serían nulas, ya que se tienen en cuenta los votos totales de los partidos independientemente de que el reparto de escaños a las circunscripciones sea o no proporcional. Además de evitar discordancias entre votos y escaños, en las tres elecciones analizadas de 1990, 2012 y 2024 el partido vencedor (PNV) obtendría una prima de varios escaños más de los que obtuvo y algún partido más obtendría representación con al menos un escaño aplicando una barrera continua del 1%. En definitiva, con nuestra propuesta se evitarían discordancias entre votos y escaños entre partidos, se facilitaría la gobernabilidad (prima al partido vencedor y los partidos más votados), y aumentaría la representatividad (algún partido más podría obtener representación).
Balinski, M. L. y Demange, G. (1989a). Algorithms for proportional matrices in reals and integers. Mathematical Programming, 45, 193-210. https://doi.org/10.1007/BF01589103
Balinski, M. L. y Demange, G. (1989b). An axiomatic approach to proportionality between matrices. Mathematics of Operations Research, 14, 700-719. https://doi.org/10.1287/moor.14.4.700
Baras, M. y Botella, J. (1996). El sistema electoral (cap. 5, pp. 128-143). Madrid: Editorial Tecnos.
Delgado Ramos, D. (2011). Elecciones al Parlament 2010: fin de ciclo en Cataluña. Revista de Derecho Político (UNED), 80, 201-234. https://doi.org/10.5944/rdp.80.2011.9146
Falcó Gimeno, A. y Verge i Mestre, T. (2013). Coalition Trading in Spain: Explaining State-wide Parties’ Government Formation Strategies at the Regional Level. Regional and Federal Studies, 23(4), 387-405. https://doi.org/10.1080/13597566.2012.758115
Gallagher, M. (1991). Proportionality, disproportionality and electoral systems. Electoral Studies, 10, 33-51.
Gambino, S. (2009). Relaciones entre sistema electoral, formato de partidos y forma de gobierno en la experiencia parlamentaria española. Revista de Estudios Políticos (Nueva Época), 146, 11-47. https://recyt.fecyt.es/index.php/RevEsPol/article/view/44365
García Herrera, M. A. (2004). El régimen electoral de la comunidad autónoma del País Vaco. Cuadernos de Derecho Público, 22-23, 320-326.
Gassner, M. B. (1991). Biproportional Delegations: A Solution for Two-Dimensional Proportional Representation. Journal of Theoretical Politics, 3, 321-342.
Gómez Fortes, B. y Cabeza Pérez, L. (2013). Basque Regional Elections 2012: The Return of Nationalism under the Influence of the Economic Crisis. Regional and Federal Studies, 23(4), 495-505. https://doi.org/10.1080/13597566.2013.798650
Grimmett, G. et al. (2017). The Composition of the European Parliament. Workshop. Policy Department for Citizens’ Rights and Constitutional Affairs. Compilation of briefings, European Parliament, PE 583.117. February. https://data.europa.eu/doi/10.2861/205630
Ibarra Güell, P. y Ahedo Gurrutxaga, I. (2004). Los sistemas políticos de Euskal Herria. Revista de Investigaciones Políticas y Sociológicas, 1(3), 77-96. https://www.redalyc.org/articulo.oa?id=38030104
Jaráiz Gulías, E. y Castro Martínez, P. (2022). En F. J. Llera Ramo, N. Lagares Díez y J. Montabes Pereira (Eds.), Las elecciones autonómicas (2017-2019) (cap. 3, pp. 38-56). Madrid: Centro de Investigaciones Sociológicas.
Laakso, M. y Taagepera R. (1979). Effective number of parties: A measure with application to West Europe. Comparative Political Studies, 12, 3-27.
Lagares Díez, N. y Oñate Rubalcaba, P. (2019). Los resultados electorales y los sistemas de partidos: cambio y continuidad en las Españas electorales. En C. Ortega Villodres, P. Oñate Rubalcaba y N. Lagares Díez, Las elecciones autonómicas de 2015 y 2016 (cap. 9, pp. 165-187). Madrid: Centro de Investigaciones Sociológicas.
Lago Peñas, I. y Lago Peñas, S. (2000). El sistema electoral español: una cuantificación de sus efectos «mecánico» y «psicológico». Revista de Estudios Políticos (Nueva Época), 107, 225-250.
Lago Peñas, I. y Montero Gibert, J. R. (2004). Más votos y menos escaños: El impacto del sistema electoral en las elecciones autonómicas catalanas de 2003. Revista de Estudios Políticos (Nueva Época), 105, 11-42. https://doi.org/10.2307/40184623
Ley Orgánica de Régimen Electoral General (LOREG) de 19 de junio de 1985. https://www.boe.es/eli/es/lo/1985/06/19/5/con
Ley 5/1990 de 15 de junio de elecciones al Parlamento Vasco (BOPV núm. 134 de 6 de julio de 1990). Última modificación por Ley 4/2005 de 18 de febrero (BOPV núm. 42 de 2 de marzo de 2005). https://www.euskadi.eus/elecciones-anteriores/elec_ant/2009/parl_vasco/legislacion/ley_5_1990.pdf
Libbrecht, L., Maddens, B. y Swenden, W. (2011). Party competition in regional elections: The strategies of state-wide parties in Spain and the United Kingdom. Party Politics, 19(4), 624-640. https://doi.org/10.1177/1354068811407602
Lijphart, A. (1985). The field of electoral systems research: a critical survey. Electoral Studies, 4, 3-14.
Lijphart, A. (1990). The political consequences of electoral laws, 1945-85. American Political Siente Review, 84, 481-496.
Llera Ramo, F. J. (1998a). Los rendimientos de los sistemas electorales de las comunidades autónomas: El predominio del bipartidismo imperfecto. Revista Española de Investigaciones Sociológicas (REIS), 82, 127-157.
Llera Ramo, F. J. (1998b). El sistema electoral del País Vasco. En J. Montabes Pereira (Ed.), El sistema electoral a debate. Veinte años de rendimiento del sistema electoral español (1977-1997) (pp. 315-318). Madrid: Centro de Investigaciones Sociológicas.
Llera Ramo, F. J. (2016a). Elecciones en un nuevo ciclo político. En F. J. Llera Ramo (Ed.), Las elecciones autonómicas del País Vasco 1980-2012 (cap. 1, pp. 27-63). Madrid: Centro de Investigaciones Sociológicas.
Llera Ramo, F. J. (2016b). La modernización del sistema de partidos de pluralismo polarizado. En F. J. Llera Ramo (Ed.), Las elecciones autonómicas del País Vasco 1980-2012 (cap. 11, pp. 247-265). Madrid: Centro de Investigaciones Sociológicas.
López Carmona, A. (2015). Propuesta de reforma del sistema electoral español y de algunos sistemas electorales de Europa y América Latina. Proporcionalidad, biproporcionalidad y paridad de género (cap. 2, pp. 9-10, 15-29; cap. 3, pp. 65-67). Tesis doctoral. Universidad de Granada.
Maier, S. (2006). Algorithms for biproportional apportionment. En B. Simeone y F. Pukelsheim (Eds.), Mathematics and democracy, studies in choice and welfare (pp. 105-116). Berlin: Springer.
Maier, S. y Pukelsheim F. (2007). Bazi: A free computer program for proportional representation apportionment. Augsburg: Institut für Mathematik.
Maier, S., Zachariassen, P. y Zachariassen, M. (2010). Divisor-based biproportional apportionment in electoral systems: A real-life benchmark study. Management Science, 56(2), 373-387.
Mancisidor Artaraz, E. (1985). El sistema electoral de la Comunidad Autónoma vasca. Revista de Estudios Políticos, 46/47, 553-582.
Márquez García, M. L. y Ramírez González, V. (1998). The Spanish electoral system. Proportionality and governability. Annals of Operations Research, 88, 45-59.
Montero Gibert, J. R. (1992). Las elecciones legislativas. En R. Cotarelo (Ed.), Transición política y consolidación democrática en España (1975-1986) (cap. 10, pp. 243-297). Madrid: Centro de Investigaciones Sociológicas.
Montero Gibert, J. R. (1997). El debate sobre el sistema electoral: Rendimientos, criterios y propuestas de reforma. Revista de Estudios Políticos (Nueva Época), 95, 9-46.
Montero Gibert, J. R., Llera Ramo, F. J. y Torcal Loriente, M. (1992). Sistemas electorales en España: Una recapitulación. Revista Española de Investigaciones Sociológicas (REIS), 58, 7-56.
Montero Gibert, J. R. y Font Fàbregas, J. (1991). El voto dual en Cataluña: Lealtad y transferencia de votos en las elecciones autonómicas. Revista de Estudios Políticos (Nueva Época), 73, 7-34.
Montero Gibert, J. R. y Riera Sagrera, P. (2008). Informe sobre la Reforma del Sistema Electoral, presentado a la Comisión de Estudios del Consejo de Estado en diciembre de 2008.
Montero Gibert, J. R. y Riera Sagrera, P. (2010). El sistema electoral español: cuestiones de desproporcionalidad y de reforma. Anuario de la Facultad de Derecho de la Universidad Autónoma de Madrid (AFDUAM), 13, 225-270.
Nohlen, D. (1981). Sistemas electorales del mundo (cap. 5, pp. 106-112, 127-141). Madrid: Centro de Estudios Constitucionales.
Nohlen, D. (1983). Reforma del sistema electoral español. Conveniencias, fórmulas y efectos políticos. Revista de Estudios Políticos, 34, 61-68.
Nohlen, D. (2004). Sistemas electorales y partidos políticos (cap. 5, pp. 92-134). México D.F.: Fondo de Cultura Económica.
Oñate Rubalcaba, P. y Ocaña Lara F. A. (1999). Índices e indicadores del sistema electoral y del sistema de partidos. Una propuesta informática para su cálculo. Revista Española de Investigaciones Sociológicas (REIS), 86, 223-246.
Oñate Rubalcaba, P. y Ocaña Lara F. A. (2000). Elecciones de 2000 y sistemas de partidos en España: ¿Cuánto cambio electoral? Revista de Estudios Políticos (Nueva Época), 110, 297-336.
Ortega Villodres, C. y Oñate Rubalcaba, P. (2019). Los efectos de los sistemas electorales autonómicos en los partidos y los sistemas de partidos. En C. Ortega Villodres, P. Oñate Rubalcaba y N. Lagares Díez, Las elecciones autonómicas de 2015 y 2016 (cap. 11, pp. 205-224). Madrid: Centro de Investigaciones Sociológicas.
Ortega Villodres, C. y Trujillo Cerezo, J. M. (2022). Los sistemas electorales autonómicos: un análisis de sus efectos. En F. J. Llera Ramo, N. Lagares Díez y J. Montabes Pereira (Eds.), Las elecciones autonómicas (2017-2019) (cap. 13, pp. 251-262). Madrid: Centro de Investigaciones Sociológicas.
Padró Solanet, A. y Colomer Calsina, J. M. (1992). Espacio político-ideológico y temas de campaña. Revista de Estudios Políticos, 78, 131-159.
Pallarés Porta, F. (1981). La distorsión de la proporcionalidad en el sistema electoral español. Análisis comparado e hipótesis alternativas. Revista de Estudios Políticos (Nueva Época), 23, 233-267.
Pallarés Porta, F. (1991). Estado autonómico y sistema de partidos: Una aproximación electoral. Revista de Estudios Políticos, 71, 281-323.
Pallarés Porta, F. (1998). Los sistemas electorales en las Comunidades Autónomas. Aspectos institucionales. En J. Montabes Pereira (Ed.), El sistema electoral a debate. Veinte años de rendimiento del sistema electoral español (1977-1997) (cap. 4, pp. 221-245). Madrid: Centro de Investigaciones Sociológicas.
Ramírez González, V. et al. (2013). Sistema electoral para el Congreso de los Diputados: Propuesta para un parlamento más ecuánime, representativo y gobernable (caps. 1 a 5, pp. 29-73; anexos 1 y 2, 87-105). Granada: Editorial de la Universidad de Granada.
Ramírez González, V. y Márquez García, A. (2010). Un sistema electoral ecuánime para el Congreso de los Diputados. Revista Española de Ciencia Política, 24, 139-160. https://recyt.fecyt.es/index.php/recp/article/view/37509
Riera Sagrera, P. (2013). Los sistemas electorales y la cigüeña. Sobre el origen y la reforma de las reglas del juego democrático. Revista Española de Investigaciones Sociológicas, 142, 141-150. https://www.redalyc.org/articulo.oa?id=99728563008
Rivera Otero, J. M., Mo Groba, D. y Gabriel, C. (2019). Las identidades nacionales y el voto. En C. Ortega Villodres, P. Oñate Rubalcaba y N. Lagares Díez (Eds.), Las elecciones autonómicas de 2015 y 2016 (cap. 15, pp. 299-317). Madrid: Centro de Investigaciones Sociológicas.
Sartori, G. (1999). Partidos y sistemas de partidos (cap. 5, pp. 149-157). Madrid: Alianza Editorial.
Schakel, A. H. (2011). Congruence Between Regional and National Elections. Comparative Political Studies, 46(5), 631-662. https://doi.org/10.1177/0010414011424112
Taagepera, R. y Shugart, M. S. (1989). Seats and votes. The effects and determinants of electoral systems (pp. 61-141). New Haven, CT: Yale University Press.
Vallès Casadevall, J. M. (1986). Sistema electoral y democracia representativa: Nota sobre la Ley Orgánica del Régimen General de 1985 y su función política. Revista de Estudios Políticos, 53, 7-28.
Vallès Casadevall, J. M. (1988). Los sistemas electorales subestatales en España: un balance (1979-1988). Ponencia presentada en el seminario Sistemi elettorali nelle regioni europee, Venecia (Italia).
Profesor sustituto interino en Sociología en la Universidad de Granada, con extensa experiencia docente e investigadora en diversos campos de la sociología, especialmente en sociología de la educación, sociología general y sociología electoral. Sus principales líneas de investigación se sitúan en el ámbito del sistema electoral español, de los sistemas electorales autonómicos, sistemas electorales de América Latina y del análisis de la paridad de género en el actual Parlamento español.